📱 小程序简介
“四棱锥体计算器”是一款专业的微信小程序,专为需要计算四棱锥体(底面为正方形)相关几何参数的用户设计。无论是学生、教师、工程师还是建筑设计师,都能通过这款小程序快速获得精确的计算结果,无需复杂的数学推导。

🔢 输入参数与计算结果
输入参数(只需输入2个值):
-
1. h – 四棱锥体的高度(从顶点到底面的垂直距离) -
2. a – 底面正方形的边长
计算结果(自动输出6个值):
-
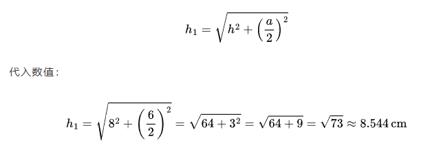
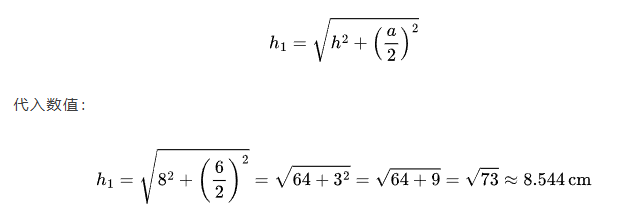
1. h1 – 侧面三角形的高(斜高) -
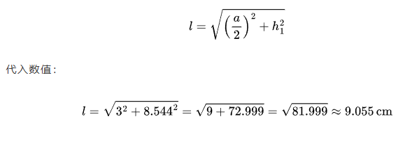
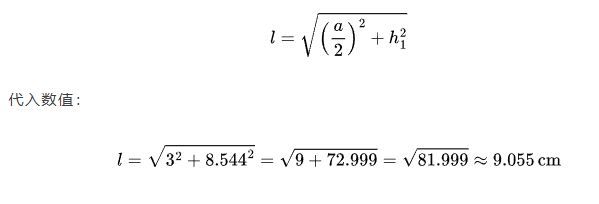
2. l – 侧棱长(从顶点到底面顶点的距离) -
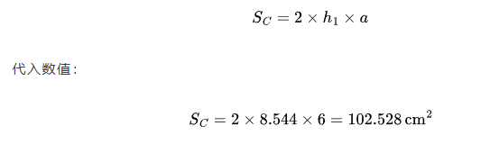
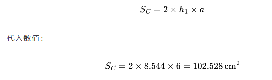
3. SC – 侧面积(四个侧面三角形的总面积) -
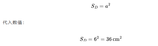
4. SD – 底面积(底面正方形的面积) -
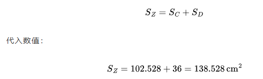
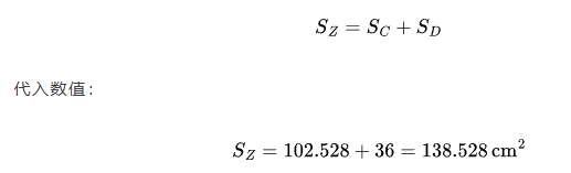
5. SZ – 总面积(侧面积 + 底面积) -
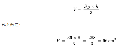
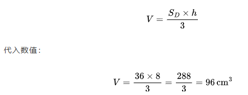
6. V – 体积(四棱锥体的容积)
📊 计算案例演示

案例:计算一个底面边长为6cm,高度为8cm的四棱锥体
输入参数:
计算公式
1. 侧面三角形的高(h1)
2. 侧棱长(l)
3. 侧面积(SC)
4. 底面积(SD)
5. 总面积(SZ)
6. 体积(V)
小程序计算结果:
✨ 小程序特色功能
-
1. 一键计算:输入两个参数,立即获得六个计算结果 -
2. 精确到三位小数:保证计算精度,满足专业需求 -
3. 结果复制功能:点击任意结果即可复制,方便记录和使用 -
4. 操作简单:界面简洁直观,无需数学基础也能轻松使用
🎯 适用人群
-
• 学生:几何学习、作业计算、考试复习 -
• 教师:备课教学、出题验证 -
• 工程师:结构设计、材料计算 -
• 建筑设计师:空间规划、模型制作 -
• DIY爱好者:手工制作、模型搭建





















